回顾中国航天事业的发展历程,人们的目光总会被一枚枚拔地而起,刺向苍穹的火箭所吸引,却很少有人关注背后的科研管理工作。
.png)
但对钱学森来说,作为中国航天事业的技术主帅,如何把成千上万的科技大军严密地组织起来,确保完成国家赋予的各项任务,这是他必须面对和解决的问题。
航天科研管理的三件“法宝”
早在美国,钱学森就敏锐地意识到,新兴的学科运筹学,能够通过数学工具,解决现实生活中的复杂问题,为决策提供科学依据,这门学科将在社会主义建设中发挥重要作用。
回国后,钱学森创建了我国第一个运筹学研究组和我国第一个军事运筹学研究机构,开启了将前沿的系统思想和系统理论运用于国防事业的先河。
.png)
1962年“东风二号”首次发射失败,钱学森在总结经验教训时,明确提出:导弹武器系统是一个复杂的系统工程,必须从系统总体的角度去考虑问题,加强系统之间的协调。
.png)
此后钱学森领导国防部第五研究院整顿工作秩序,制定科研工作规范,用系统的理念将五院的工作纳入科学管理的轨道。
1962年10月8日,《国防部第五研究院暂行条例》颁发试行,条例集中体现了钱学森航天系统管理的思想,其中有三项核心内容后来被誉为航天科研管理的三件“法宝”。
一、建立总体设计部
第一是建立总体设计部。钱学森指出,航天工程高度复杂要进行总体协调,但是这个任务不可能靠一个人来完成,因为没有人能够精通全部专业知识也不可能有精力去完成数量惊人的技术协调工作,这时就需要一个由各方面专业技术人员组成的部门来制定总体方案,确保实现系统的整体优化。
.png)
1978年9月27日,钱学森亲自撰写的万余字论文《组织管理的技术——系统工程》一文在《文汇报》全文刊发
钱学森曾经举了一个通俗易懂的例子来说明总体设计部的任务,如果天气很热,屋子里温度很高,正好屋里有台冰箱,于是有人提议把冰箱门打开,不是可以放出一些冷气吗?但是这个意见是错误的,因为你在通过冰箱不断向室内输送能量,也许你站在冰箱门口能够感到一些凉意,但是室内的温度必然会提高,这就是局部和整体的关系,局部优化不等于整体优化,而总体部的任务就是要做到整体优化。
二、建立两条指挥线
第二是建立两条指挥线。一条是以总设计师为首的设计师指挥线;一条是以行政总指挥为首的行政指挥线。
.png)
前者专注工程研制,后者则负责指挥调度,既保证了技术决策的科学与民主,又保证了决策计划的有效执行与实施,这个纵横交织的管理网络成为中国航天富有特色的组织管理形式。
三、建立协调管理系统
第三是建立科研、生产、计划协调管理系统。钱学森认为研制导弹,三分靠技术,七分靠管理。航天工程需要成千上万人之间的协作管理的重要性毋庸置疑。
1962年,钱学森提出导弹研制中使用先进的计划协调技术,提升组织管理水平。
.png)
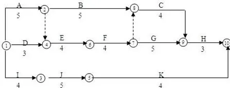
什么是计划协调技术呢?钱学森这样解释:任何一项任务都是由一件一件的具体工作组成的,把所要做事情一个圆圈,一个圆圈地画在一张纸上,先办的画在左边,后办的画在右边,然后在两个圆圈当中画一条直线,表示从前一件事到后一件事必须经历的工作,并注明所需时间,找出需要时间最长的一条线,这条线叫关键线。
计划协调技术所需要协调的就是想办法采取措施,使得关键线所需要的时间能够缩短一点,因为它一缩短了,整个任务的完成时间就可以提前。
.png)
历久弥新、推而广之
以“条例”为基础,中国航天科研工作形成了一套科学的组织管理模式。钱学森以自己的才华与智慧为中国航天事业塑造了保驾护航的制胜法宝。时至今日,依然发挥着不可替代的作用。
.png)
1960年代周恩来会见钱学森
钱学森晚年,在许多场合讲过下面这段话:周恩来总理生前曾提出把航天总体设计部的管理经验推广到国民经济系统,比如葛洲坝水电站和三峡大坝的建设等等。我们的社会主义改革是一个极为复杂的巨大的系统工程,假设我们把这个科学体系建立起来了,就跟发射卫星一样,完全可以用来成功地建设社会主义。周恩来同志和聂荣臻同志领导并指教,我们开创的事业一定要继续下去,还要扩展到整个社会主义建设,我在今后的余生中就想促进一下这件事情。